Asistencia escolar de menores de 5 años (%) (dpto)
Asistencia escolar de menores de 5 años (%)
Entendiendo la realidad de las brechas territoriales en Colombia
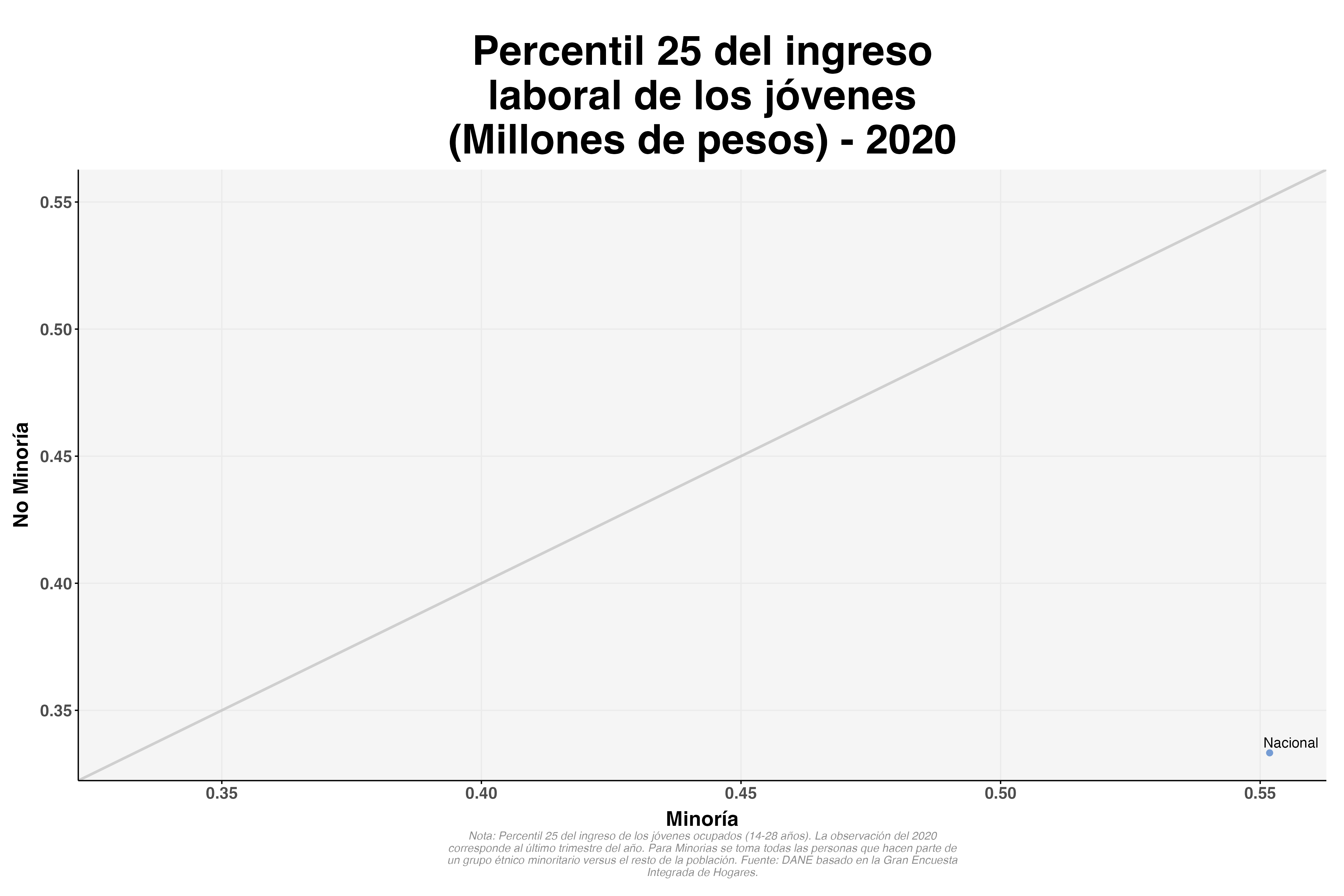
Percentil 25 del ingreso de los jóvenes ocupados (14-28 años). La observación del 2020 corresponde al último trimestre del año. Para Minorias se toma todas las personas que hacen parte de un grupo étnico minoritario versus el resto de la población. Fuente: DANE basado en la Gran Encuesta Integrada de Hogares.
Pesos
11
Territorial:Nacional, Ciudades
Esta variable está disponible para el periodo 2010 - 2020
Gran Encuesta Integrada de Hogares (GEIH)
A través de la libreria R PulsoSocialColombia puedes acceder a los siguientes gráficos:
pulso_static(11)

pulso_trend(11)

pulso_map(11)
